SOLUTION: Please help me with this problem Use coordinate geometry to prove that quadrilateral PART with vertices P(-2,1), A(1,4), R(4,1) and T(1,-2) is a square

Algebra ->  Geometry-proofs -> SOLUTION: Please help me with this problem Use coordinate geometry to prove that quadrilateral PART with vertices P(-2,1), A(1,4), R(4,1) and T(1,-2) is a square      Log On


   



Question 85377: Please help me with this problem
Use coordinate geometry to prove that quadrilateral PART with vertices P(-2,1), A(1,4), R(4,1) and T(1,-2) is a square

Answer by Edwin McCravy(20085) About Me  (Show Source):
You can put this solution on YOUR website!
Please help me with this problem 
Use coordinate geometry to prove that quadrilateral PART 
with vertices P(-2,1), A(1,4), R(4,1) and T(1,-2) is a square.




Let's find the slopes of all 4 sides:


mPA = %28+%284%29-%281%29%29%2F%28%281%29-%28-2%29%29 = %284-1%29%2F%281%2B2%29 = 3%2F3 = 1

mAR = %28+%281%29-%284%29%29%2F%28%284%29-%281%29%29 = %28-3%29%2F%283%29 = -1

mRT = %28+%28-2%29-%281%29%29%2F%28%281%29-%284%29%29 = %28-2-1%29%2F%281-4%29 = -3%2F-3 = 1

mTP = %28+%281%29-%28-2%29%29%2F%28%28-2%29-%281%29%29 = %281%2B2%29%2F%28-2-1%29 = 3%2F%28-3%29 = -1

We need only to show that PART is a parallogram with one right angle, and
that two adjacent sides are equal in length.

PA II RT because both have the same slope 1

AR II TP because both have the same slope -1

This shows that PART is a parallelogram.

PA ^ AR because their slopes are 1 and -1, 
which are negative reciprocals of each other.  (Or rather, the product
of 1 and -1 is -1).

Now we have shown that PART is a rectangle.

Finally we show that PA = AR

DPA = sqrt%28%281-%28-2%29%29%5E2+%2B+%284-1%29%5E2%29 = sqrt%28%281%2B2%29%5E2+%2B+%283%29%5E2%29 =sqrt%283%5E2+%2B+9%29 = sqrt%289+%2B+9%29 = sqrt%2818%29 = 3sqrt%282%29

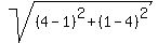
DAR = sqrt%28%284-1%29%5E2+%2B+%281-4%29%5E2%29 = sqrt%28%283%29%5E2+%2B+%28-3%29%5E2%29 = sqrt%289+%2B+9%29 = sqrt%2818%29 = 3sqrt%282%29

So now we have shown that PART is a square.

Edwin