SOLUTION: This parallelogram has points A (2, 0), B (3, ?), and D (5, 0), and AB = (squareroot)10. What is the location of vertex C?

Algebra ->  Geometry-proofs -> SOLUTION: This parallelogram has points A (2, 0), B (3, ?), and D (5, 0), and AB = (squareroot)10. What is the location of vertex C?      Log On


   



Question 842297: This parallelogram has points A (2, 0), B (3, ?), and D (5, 0), and AB = (squareroot)10. What is the location of vertex C?
Answer by josgarithmetic(39620) About Me  (Show Source):
You can put this solution on YOUR website!
The question is slightly open-ended. B could be above or below the x axis.

For AB:
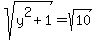
sqrt%28%28y-0%29%5E2%2B%283-2%29%5E2%29=sqrt%2810%29
sqrt%28y%5E2%2B1%29=sqrt%2810%29
y%5E2%2B1=10
y%5E2=9
highlight%28y=-3%29 OR highlight%28y=3%29
The point B is (3,-3) OR (3,3).

(6,3) is a possibility for point C. Figure this through visual thinking or draw a graph to help, or do some coordinate geometric algebra using slopes and line equations.