SOLUTION: show the following points are collinear A(-3,-2) B(5,2) C(9,4) prove line AB plus line BC is equal to line AC what will i do?? am i going to graph only and that's it???

Algebra ->  Geometry-proofs -> SOLUTION: show the following points are collinear A(-3,-2) B(5,2) C(9,4) prove line AB plus line BC is equal to line AC what will i do?? am i going to graph only and that's it???      Log On


   



Question 771459: show the following points are collinear
A(-3,-2) B(5,2) C(9,4)
prove line AB plus line BC is equal to line AC
what will i do??
am i going to graph only and that's it???

Answer by mananth(16946) About Me  (Show Source):
You can put this solution on YOUR website!
A(-3,-2) B(5,2) C(9,4)
you have to calculate the three distances
and then prove
l(AB)
Distance between two points
x1 y1 x2 y2

-3 -2 5 2
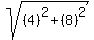
d= sqrt%28%28y2-y1%29%5E2%2B%28x2-x1%29%5E2%29
d= sqrt%28%28%09%092%09-%09-2%09%29%5E2%09%2B%09%28%095%09-%09-3%09%29%5E2%09%29
d= sqrt%28%28%09%094%09%29%5E2%09%2B%09%28%098%09%29%5E2%09%29
d= sqrt%28%28%09%0980%09%29++%09%29
d= 8.94
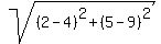
l(BC)
Distance between two points
x1 y1 x2 y2

9 4 5 2
d= sqrt%28%28y2-y1%29%5E2%2B%28x2-x1%29%5E2%29
d= sqrt%28%28%09%092%09-%094%09%29%5E2%09%2B%09%28%095%09-%099%09%29%5E2%09%29
d= sqrt%28%28%09%09-2%09%29%5E2%09%2B%09%28%09-4%09%29%5E2%09%29
d= sqrt%28%28%09%0920%09%29++%09%29
d= 4.47
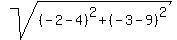
l(AC)
Distance between two points
x1 y1 x2 y2

9 4 -3 -2
d= sqrt%28%28y2-y1%29%5E2%2B%28x2-x1%29%5E2%29
d= sqrt%28%28%09%09-2%09-%094%09%29%5E2%09%2B%09%28%09-3%09-%099%09%29%5E2%09%29
d= sqrt%28%28%09%09-6%09%29%5E2%09%2B%09%28%09-12%09%29%5E2%09%29
d= sqrt%28%28%09%09180%09%29++%09%29
d= 13.42
4.47 +8.94 = 13.42
m.ananth@hotmail.ca