SOLUTION: Use coordinate geometry to prove the statement. The segments joing the midpoints of a rectangle form a rhombus. A(0,0) D(0,b) C(a,b) B(a,0) A is on the orgin of the coorndian

Algebra ->  Geometry-proofs -> SOLUTION: Use coordinate geometry to prove the statement. The segments joing the midpoints of a rectangle form a rhombus. A(0,0) D(0,b) C(a,b) B(a,0) A is on the orgin of the coorndian      Log On


   



Question 669221: Use coordinate geometry to prove the statement.
The segments joing the midpoints of a rectangle form a rhombus.
A(0,0)
D(0,b)
C(a,b)
B(a,0)
A is on the orgin of the coorndiante plan, while D is located on the Y axis.
B is located on the X axis. C is not n an axis.

Answer by Edwin McCravy(20077) About Me  (Show Source):
You can put this solution on YOUR website!


The midpoint of AB is E(a%2F2,0),
The midpoint of AB is F(a%2F2,b%2F2),



Using the distance formula, which is:

d = sqrt%28%28x%5B2%5D-x%5B1%5D%29%5E2%2B%28y%5B2%5D-y%5B1%5D%29%5E2%29

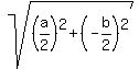
EF = sqrt%28%28a-a%2F2%29%5E2%2B%28b%2F2-0%29%5E2%29 = sqrt%28%28a%2F2%29%5E2%2B%28b%2F2%29%5E2%29



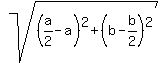
FG = sqrt%28%28a%2F2-a%29%5E2%2B%28b-b%2F2%29%5E2%29 = sqrt%28%28-a%2F2%29%5E2%2B%28b%2F2%29%5E2%29 = sqrt%28%28a%2F2%29%5E2%2B%28b%2F2%29%5E2%29

GH = sqrt%28%28a-a%2F2%29%5E2%2B%28b%2F2-b%29%29%5E2 = sqrt%28%28-a%2F2%29%5E2%2B%28b%2F2%29%5E2%29 = sqrt%28%28a%2F2%29%5E2%2B%28b%2F2%29%5E2%29

HE = sqrt%28%28a%2F2-a%29%5E2%2B%280-b%2F2%29%5E2%29 = sqrt%28%28a%2F2%29%5E2%2B%28-b%2F2%29%5E2%29 = sqrt%28%28a%2F2%29%5E2%2B%28b%2F2%29%5E2%29

All four sides of EFGH are equal to sqrt%28%28a%2F2%29%5E2%2B%28b%2F2%29%5E2%29 so EFGH is a rhombus.

Edwin