SOLUTION: Find two consecutive numbers such that the sum of their squares is 35 more than twice the square of the smaller.
Algebra ->
Geometry-proofs
-> SOLUTION: Find two consecutive numbers such that the sum of their squares is 35 more than twice the square of the smaller.
Log On
Question 54440: Find two consecutive numbers such that the sum of their squares is 35 more than twice the square of the smaller. Answer by Earlsdon(6294) (Show Source):
You can put this solution on YOUR website! Try this:
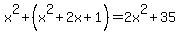
Let x be the smaller number, then x+1 will be the next consecutive number. Simplify and solve for x. Subtract 2x^2 from both sides. Subtract 1 from both sides. Finally, divide both sides by 2. and
Check: = 613 = 613