SOLUTION: given: the distance formula n 3d. a sphere with radiu r has the center (a,b,c). prove: the equation of a sphere in rectangular coordinates (x,y,z) with radius r and cente (a,b,c

Algebra ->  Geometry-proofs -> SOLUTION: given: the distance formula n 3d. a sphere with radiu r has the center (a,b,c). prove: the equation of a sphere in rectangular coordinates (x,y,z) with radius r and cente (a,b,c      Log On


   



Question 193146: given: the distance formula n 3d. a sphere with radiu r has the center (a,b,c).
prove: the equation of a sphere in rectangular coordinates (x,y,z) with radius r and cente (a,b,c) is (x-a) squared plus (y-b) squared plus (z-c) squared equals r squared

Answer by Earlsdon(6294) About Me  (Show Source):
You can put this solution on YOUR website!
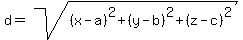
The locus of points that are equi-distant from a given point (a, b, c) in 3-dimensional space (a sphere) is given by:
d+=+sqrt%28%28x-a%29%5E2%2B%28y-b%29%5E2%2B%28z-c%29%5E2%29 Square both sides.
d%5E2+=+%28x-a%29%5E2%2B%28y-b%29%5E2%2B%28z-c%29%5E2 but the distance is called the radius, r, so...
highlight%28r%5E2+=+%28x-a%29%5E2%2B%28y-b%29%5E2%2B%28z-c%29%5E2%29