Question 144172: Given: triangle ABC A(-1,2) B(7,0) C(1,-6) and a point D(4,-3) on segment BC
Prove: segment AD is the perpendicular bisector of segment BC
Answer by Edwin McCravy(20077) (Show Source):
You can put this solution on YOUR website! Given: triangle ABC A(-1,2) B(7,0) C(1,-6) and a point D(4,-3) on segment BC
Prove: segment AD is the perpendicular bisector of segment BC
First we use the midpoint formula to show that D
is the midpoint of BC. That will show that AD is
a bisector of BC. Then we will use the slope
formula to show that AD is perpendicular to BC.
The midpoint of the segment joining ( , ) and ( , ) is
given by the formula
= ( , )
We use B( , ) as ( , )
and C( , ) as ( , )
= ( , )
= ( , )
= ( , )
= ( , )
Since D has those coordinates, AD bisects BC.
Now we need to show AD and BC are perpendicular.
The slope of the segment joining ( , ) and ( , ) is
given by the formula
So we now find the slope of BC, again using
B( , ) as ( , )
and C( , ) as ( , )
So the slope of BC is
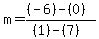
Now So we now find the slope of AD, using
A( , ) as ( , )
and D( , ) as ( , )
So the slope of AD is
Since and are reciprocals with
opposite signs, this proves AD is perpendicular to
BC.
Therefore AD is the perpendicular bisector of BC.
Edwin
|
|
|