SOLUTION: The coordinates of the vertices of parallelogram ABCD are A(−1, −3), B(7, 2), C(5, 8), and D(−3, 3). Using the diagonals, determine whether or not ABCD is a rhom

Algebra ->  Geometry-proofs -> SOLUTION: The coordinates of the vertices of parallelogram ABCD are A(−1, −3), B(7, 2), C(5, 8), and D(−3, 3). Using the diagonals, determine whether or not ABCD is a rhom      Log On


   



Question 1131983: The coordinates of the vertices of parallelogram ABCD are A(−1, −3), B(7, 2), C(5, 8), and D(−3, 3). Using
the diagonals, determine whether or not ABCD is a rhombus. Show all your work and state appropriate
formulas and theorems used.

Answer by MathLover1(20850) About Me  (Show Source):
You can put this solution on YOUR website!
The rhombus has the following properties: All the properties of a parallelogram apply (the ones that matter here are parallel sides, opposite angles are congruent, and consecutive angles are supplementary). All sides are congruent by definition. The diagonals bisect the angles.

let’s check if all four sides are congruent

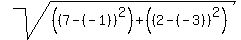
Solved by pluggable solver: Distance Between 2 points
The distance formula is sqrt%28%28%28x%5B2%5D-x%5B1%5D%29%5E2%29%2B%28%28y%5B2%5D-y%5B1%5D%29%5E2%29%29. Plug in the numbers,
sqrt%28%28%287-%28-1%29%29%5E2%29%2B%28%282-%28-3%29%29%5E2%29%29
sqrt%288%5E2%2B5%5E2%29 The distance is 9.4339811320566.



AB=9.4339811320566

Solved by pluggable solver: Distance Between 2 points
The distance formula is sqrt%28%28%28x%5B2%5D-x%5B1%5D%29%5E2%29%2B%28%28y%5B2%5D-y%5B1%5D%29%5E2%29%29. Plug in the numbers,
sqrt%28%28%28-3-%285%29%29%5E2%29%2B%28%283-%288%29%29%5E2%29%29
sqrt%28-8%5E2%2B-5%5E2%29 The distance is 9.4339811320566.



CD=+9.4339811320566


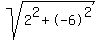
Solved by pluggable solver: Distance Between 2 points
The distance formula is sqrt%28%28%28x%5B2%5D-x%5B1%5D%29%5E2%29%2B%28%28y%5B2%5D-y%5B1%5D%29%5E2%29%29. Plug in the numbers,
sqrt%28%28%287-%285%29%29%5E2%29%2B%28%282-%288%29%29%5E2%29%29
sqrt%282%5E2%2B-6%5E2%29 The distance is 6.32455532033676.



BC=6.32455532033676

Solved by pluggable solver: Distance Between 2 points
The distance formula is sqrt%28%28%28x%5B2%5D-x%5B1%5D%29%5E2%29%2B%28%28y%5B2%5D-y%5B1%5D%29%5E2%29%29. Plug in the numbers,
sqrt%28%28%28-3-%28-1%29%29%5E2%29%2B%28%283-%28-3%29%29%5E2%29%29
sqrt%28-2%5E2%2B6%5E2%29 The distance is 6.32455532033676.




AD=6.32455532033676

since only opposite sides of a parallelogram are congruent, ABCD is not a rhombus, it is a parallelogram