Tutors Answer Your Questions about Functions (FREE)
Question 1151481: Jon's and Brianna were racing remote control car. The equation d=3t+15 models the distance, d( in feet), Jon's car was away from a wall, after t seconds. The second. The table below shows the distance that Brianna's car was away from the same wall at different times.
Seconds(t) Feet from wall (d)
5. 20
10. 30
15. 40
How much closer to the wall did Brianna's car start compared to Jon's car?
A. 1ft
B. 2ft
C. 5ft
D. 10 ft
Click here to see answer by MathLover1(20850)  |
Question 1151481: Jon's and Brianna were racing remote control car. The equation d=3t+15 models the distance, d( in feet), Jon's car was away from a wall, after t seconds. The second. The table below shows the distance that Brianna's car was away from the same wall at different times.
Seconds(t) Feet from wall (d)
5. 20
10. 30
15. 40
How much closer to the wall did Brianna's car start compared to Jon's car?
A. 1ft
B. 2ft
C. 5ft
D. 10 ft
Click here to see answer by greenestamps(13200)  |
Question 1151480: Smart student learning center charges students a registration fee of $25 plus an hourly rate of $30 for after school tutoring. Brilliant learning center charges students for after school tutoring based on the table below :
Brilliant student learning center
Hours of tutoring (x) Total cost (y)
1 $45
3 $115
5 $185
7 $255
If a student needs 4 hours of tutoring, which statement is true?
A. Smart student learning center charges$5 more than Brillant student learning center.
B.
Brilliant student learning center charges $5 more than Smart student learning center.
C.Smart student learning center charges #35 more than Brilliant student learning center.
D. Brillant student learning center charges $35 more than Smart student learning center.
Click here to see answer by greenestamps(13200)  |
Question 1151573: The time required for a skilled worker to produce x shirts is given by the function T(x) = 4x + 2, where T is measured in hours. The salary the she is paid is given by the function S(T) = 15T, where S is measured in dollars.
A. If the worker produces 18 units, what will she be paid?
B. How many units would the worker need to produce to be paid $3,030?
Click here to see answer by jim_thompson5910(35256) |
Question 1151725: My seventh grade class just started on a unit within functions. Examples of what we are working on show up here:
https://classroom.google.com/c/NDEyMDQ4MTkxNTda/p/NTAzNDMwMjg1MjZa/details
Thing is, I don't know how to solve a problem that I've tried to solve by looking up YouTube tutorials. Please explain how to solve an equation for the following below:
x|y
2|-6
3|1
4|8
5|15
6|22
8|36
I came up with y = 7x + (-13) after countless YouTube tutorials but they all don't make sense to me. Please explain to me how to do this.
Click here to see answer by ankor@dixie-net.com(22740)  |
Question 1151725: My seventh grade class just started on a unit within functions. Examples of what we are working on show up here:
https://classroom.google.com/c/NDEyMDQ4MTkxNTda/p/NTAzNDMwMjg1MjZa/details
Thing is, I don't know how to solve a problem that I've tried to solve by looking up YouTube tutorials. Please explain how to solve an equation for the following below:
x|y
2|-6
3|1
4|8
5|15
6|22
8|36
I came up with y = 7x + (-13) after countless YouTube tutorials but they all don't make sense to me. Please explain to me how to do this.
Click here to see answer by ikleyn(52794)  |
Question 1151888: The function S(D) = 2D can be used to approximate the speed S, in miles per hour, of a car that has left skid marks of length D, in feet. How far will a car skid at 50 mph? Round to two decimal places. Remember to round only on the last step. Clearly state your final answer in a complete sentence with proper grammar and correct spelling
Click here to see answer by josgarithmetic(39618) |
Question 1151889: The function S(D) =(7/2) √2D can be used to approximate the speed S, in miles per hour, of a car that has left skid marks of length D, in feet. How far will a car skid at 50 mph? Round to two decimal places. Remember to round only on the last step. Clearly state your final answer in a complete sentence with proper grammar and correct spelling
Click here to see answer by josgarithmetic(39618) |
Question 1151784: Susan has a $100 gift card to her favorite restaurant. Each day, she uses her gift card to buy the same lunch for $8.50. Bret has a $75 gift card to the same restaurant. His lunches cost $6 each. Write an inequality to find what number of lunches Susan’s gift card balance will be greater than Bret’s gift card balance.
Click here to see answer by Theo(13342)  |
Question 1152064: The function S(D) =(7/2) √2D can be used to approximate the speed S, in miles per hour, of a car that has left skid marks of length D, in feet. How far will a car skid mark that is 102.04 feet long? Round to the nearest integer Clearly state your final answer in a complete sentence with proper grammar and correct spelling
Click here to see answer by Boreal(15235)  |
Question 1152064: The function S(D) =(7/2) √2D can be used to approximate the speed S, in miles per hour, of a car that has left skid marks of length D, in feet. How far will a car skid mark that is 102.04 feet long? Round to the nearest integer Clearly state your final answer in a complete sentence with proper grammar and correct spelling
Click here to see answer by ikleyn(52794)  |
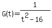
Question 1152172: Find the domain and range of the function:
For the domain, I set the denominator equal to 0 and added 16 to both sides. Then, I took the square root of both sides. This left me with t=4, therefore the domain would be all real numbers except 4. However, this was incorrect... how did I miss the -4 in the domain restriction?
Also, how could I find the range?
Thanks so much!
Click here to see answer by MathLover1(20850)  |
Question 1152172: Find the domain and range of the function:
For the domain, I set the denominator equal to 0 and added 16 to both sides. Then, I took the square root of both sides. This left me with t=4, therefore the domain would be all real numbers except 4. However, this was incorrect... how did I miss the -4 in the domain restriction?
Also, how could I find the range?
Thanks so much!
Click here to see answer by MathTherapy(10552)  |
Question 1152233: Noah’s cousin is exactly 7 years younger than Noah. Let C represent Noah’s cousin’s age and
N represent Noah’s age. Age measures in years.
a. Write a function that defines the cousin’s age as a function of Noah’s age. What are the input and output of the function?
b. Write the inverse of the function. What are the input and output of the inverse function?
Click here to see answer by josgarithmetic(39618) |
Question 1152233: Noah’s cousin is exactly 7 years younger than Noah. Let C represent Noah’s cousin’s age and
N represent Noah’s age. Age measures in years.
a. Write a function that defines the cousin’s age as a function of Noah’s age. What are the input and output of the function?
b. Write the inverse of the function. What are the input and output of the inverse function?
Click here to see answer by MathLover1(20850)  |
Question 1152387: Hi! I had this interval: . When I took the reciprocal of each number, I ended up with: . However, this leaves me with the larger number on the left side and the smaller number on the right side. This wouldn't make sense. What did I do wrong? Can I rearrange the numbers?
Click here to see answer by ikleyn(52794)  |
Question 1152387: Hi! I had this interval: . When I took the reciprocal of each number, I ended up with: . However, this leaves me with the larger number on the left side and the smaller number on the right side. This wouldn't make sense. What did I do wrong? Can I rearrange the numbers?
Click here to see answer by MathLover1(20850)  |
Question 1152387: Hi! I had this interval: . When I took the reciprocal of each number, I ended up with: . However, this leaves me with the larger number on the left side and the smaller number on the right side. This wouldn't make sense. What did I do wrong? Can I rearrange the numbers?
Click here to see answer by Alan3354(69443)  |
|
Older solutions: 1..45, 46..90, 91..135, 136..180, 181..225, 226..270, 271..315, 316..360, 361..405, 406..450, 451..495, 496..540, 541..585, 586..630, 631..675, 676..720, 721..765, 766..810, 811..855, 856..900, 901..945, 946..990, 991..1035, 1036..1080, 1081..1125, 1126..1170, 1171..1215, 1216..1260, 1261..1305, 1306..1350, 1351..1395, 1396..1440, 1441..1485, 1486..1530, 1531..1575, 1576..1620, 1621..1665, 1666..1710, 1711..1755, 1756..1800, 1801..1845, 1846..1890, 1891..1935, 1936..1980, 1981..2025, 2026..2070, 2071..2115, 2116..2160, 2161..2205, 2206..2250, 2251..2295, 2296..2340, 2341..2385, 2386..2430, 2431..2475, 2476..2520, 2521..2565, 2566..2610, 2611..2655, 2656..2700, 2701..2745, 2746..2790, 2791..2835, 2836..2880, 2881..2925, 2926..2970, 2971..3015, 3016..3060, 3061..3105, 3106..3150, 3151..3195, 3196..3240, 3241..3285, 3286..3330, 3331..3375, 3376..3420, 3421..3465, 3466..3510, 3511..3555, 3556..3600, 3601..3645, 3646..3690, 3691..3735, 3736..3780, 3781..3825, 3826..3870, 3871..3915, 3916..3960, 3961..4005, 4006..4050, 4051..4095, 4096..4140, 4141..4185, 4186..4230, 4231..4275, 4276..4320, 4321..4365, 4366..4410, 4411..4455, 4456..4500, 4501..4545, 4546..4590, 4591..4635, 4636..4680, 4681..4725, 4726..4770, 4771..4815, 4816..4860, 4861..4905, 4906..4950, 4951..4995, 4996..5040, 5041..5085, 5086..5130, 5131..5175, 5176..5220, 5221..5265, 5266..5310, 5311..5355, 5356..5400, 5401..5445, 5446..5490, 5491..5535, 5536..5580, 5581..5625, 5626..5670, 5671..5715, 5716..5760, 5761..5805, 5806..5850, 5851..5895, 5896..5940, 5941..5985, 5986..6030, 6031..6075, 6076..6120, 6121..6165, 6166..6210, 6211..6255, 6256..6300, 6301..6345, 6346..6390, 6391..6435, 6436..6480, 6481..6525, 6526..6570, 6571..6615, 6616..6660, 6661..6705, 6706..6750, 6751..6795, 6796..6840, 6841..6885, 6886..6930, 6931..6975, 6976..7020, 7021..7065, 7066..7110, 7111..7155, 7156..7200, 7201..7245, 7246..7290, 7291..7335, 7336..7380, 7381..7425, 7426..7470, 7471..7515, 7516..7560, 7561..7605, 7606..7650, 7651..7695, 7696..7740, 7741..7785, 7786..7830, 7831..7875, 7876..7920, 7921..7965, 7966..8010, 8011..8055, 8056..8100, 8101..8145, 8146..8190, 8191..8235, 8236..8280, 8281..8325, 8326..8370, 8371..8415, 8416..8460, 8461..8505, 8506..8550, 8551..8595, 8596..8640, 8641..8685, 8686..8730, 8731..8775, 8776..8820, 8821..8865, 8866..8910, 8911..8955, 8956..9000, 9001..9045, 9046..9090, 9091..9135, 9136..9180, 9181..9225, 9226..9270, 9271..9315, 9316..9360, 9361..9405, 9406..9450, 9451..9495, 9496..9540, 9541..9585, 9586..9630, 9631..9675, 9676..9720, 9721..9765, 9766..9810, 9811..9855, 9856..9900, 9901..9945, 9946..9990, 9991..10035, 10036..10080, 10081..10125, 10126..10170, 10171..10215, 10216..10260, 10261..10305, 10306..10350, 10351..10395, 10396..10440, 10441..10485, 10486..10530, 10531..10575, 10576..10620, 10621..10665, 10666..10710, 10711..10755, 10756..10800, 10801..10845, 10846..10890, 10891..10935, 10936..10980, 10981..11025, 11026..11070, 11071..11115, 11116..11160, 11161..11205, 11206..11250, 11251..11295, 11296..11340, 11341..11385, 11386..11430, 11431..11475, 11476..11520, 11521..11565, 11566..11610, 11611..11655, 11656..11700, 11701..11745, 11746..11790, 11791..11835, 11836..11880, 11881..11925, 11926..11970, 11971..12015, 12016..12060, 12061..12105, 12106..12150, 12151..12195, 12196..12240, 12241..12285, 12286..12330, 12331..12375, 12376..12420, 12421..12465, 12466..12510, 12511..12555, 12556..12600, 12601..12645, 12646..12690, 12691..12735, 12736..12780, 12781..12825, 12826..12870, 12871..12915, 12916..12960, 12961..13005, 13006..13050, 13051..13095, 13096..13140, 13141..13185, 13186..13230, 13231..13275, 13276..13320, 13321..13365, 13366..13410, 13411..13455, 13456..13500, 13501..13545, 13546..13590, 13591..13635, 13636..13680, 13681..13725, 13726..13770, 13771..13815, 13816..13860, 13861..13905, 13906..13950, 13951..13995, 13996..14040, 14041..14085, 14086..14130, 14131..14175, 14176..14220, 14221..14265, 14266..14310, 14311..14355, 14356..14400, 14401..14445, 14446..14490, 14491..14535, 14536..14580, 14581..14625, 14626..14670, 14671..14715, 14716..14760, 14761..14805, 14806..14850, 14851..14895, 14896..14940, 14941..14985, 14986..15030, 15031..15075, 15076..15120, 15121..15165, 15166..15210, 15211..15255, 15256..15300, 15301..15345, 15346..15390, 15391..15435, 15436..15480, 15481..15525, 15526..15570, 15571..15615, 15616..15660
|