Tutors Answer Your Questions about Functions (FREE)
Question 1004764: If u(x)=-2x^2+3 and v(x)= 1/x, what is the range of u(v(x))?
The answer needs to be written in parenthaseis and I have no idea how to do that. My best guess for an answer would be (-infinity, +infinity)
Please help!!!!!
Click here to see answer by stanbon(75887) |
Question 1005100: Q¬−6: [5×1Marks] Let f(x)=2/3 x^3-5x^2+12x-7
Find f ′(x) and f ′′(x).
Find the intervals on which f (x) is increasing or decreasing.
Find the local maximum and minimum of f (x), if any.
Find the intervals on which the graph of f (x) is concave up or concave down.
Find the inflection points of f (x), if any.
Click here to see answer by Boreal(15235)  |
Question 1005668: Josie is sitting on a Ferris wheel. She is exactly 35 feet from the center and is at the 3 o'clock position when the Ferris wheel begins moving.
Define a function f that determines Josie's vertical distance above the horizontal diameter (in feet) as a function of the arc length (in feet), s, swept out by the Ferris wheel as it moves counter-clockwise from the 3 o'clock position.
PLEASE HELP! I am not understanding this. Thanks so much!
Click here to see answer by Alan3354(69443)  |
Question 1005754: The Cooper family and the Jackson family each used their sprinklers last summer. The water output rate for the Cooper family's sprinkler was 30L per hour. The water output rate for the Jackson family's sprinkler was 25L per hour. The families used their sprinklers for a combined total of 50 hours, resulting in a total water output of 1425L. How long was each sprinkler used?
Click here to see answer by josgarithmetic(39618) |
Question 1005778: Why is the domain of ln(14+x^2) ...(-inf,+inf)?
I thought with domain of ln we take what is inside and set that to zero, like so.
14+x^2 = 0
x^2 = -14
x = sqrt(-14)
x = DNE
so the domain doesn't exist.
Something I really dont get here
Please help
Thank you
Click here to see answer by josmiceli(19441)  |
Question 1005778: Why is the domain of ln(14+x^2) ...(-inf,+inf)?
I thought with domain of ln we take what is inside and set that to zero, like so.
14+x^2 = 0
x^2 = -14
x = sqrt(-14)
x = DNE
so the domain doesn't exist.
Something I really dont get here
Please help
Thank you
Click here to see answer by jim_thompson5910(35256) |
Question 1005858: The function f(x) = 300(0.5) x/60 models the amount in pounds of a particular radioactive material stored in a concrete vault, where x is the number of years since the material was put into the vault. Find the amount of radioactive material in the vault after 170 years. Round to the nearest whole number.
Click here to see answer by fractalier(6550)  |
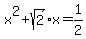
Question 1006242: The solution set of the equation consists of:
A) one negative rational number.
B) one positive integer and one negative rational number.
c) two irrational numbers.
D) two non real complex numbers.
E) two positive rational numbers.
Click here to see answer by Theo(13342)  |
|
Older solutions: 1..45, 46..90, 91..135, 136..180, 181..225, 226..270, 271..315, 316..360, 361..405, 406..450, 451..495, 496..540, 541..585, 586..630, 631..675, 676..720, 721..765, 766..810, 811..855, 856..900, 901..945, 946..990, 991..1035, 1036..1080, 1081..1125, 1126..1170, 1171..1215, 1216..1260, 1261..1305, 1306..1350, 1351..1395, 1396..1440, 1441..1485, 1486..1530, 1531..1575, 1576..1620, 1621..1665, 1666..1710, 1711..1755, 1756..1800, 1801..1845, 1846..1890, 1891..1935, 1936..1980, 1981..2025, 2026..2070, 2071..2115, 2116..2160, 2161..2205, 2206..2250, 2251..2295, 2296..2340, 2341..2385, 2386..2430, 2431..2475, 2476..2520, 2521..2565, 2566..2610, 2611..2655, 2656..2700, 2701..2745, 2746..2790, 2791..2835, 2836..2880, 2881..2925, 2926..2970, 2971..3015, 3016..3060, 3061..3105, 3106..3150, 3151..3195, 3196..3240, 3241..3285, 3286..3330, 3331..3375, 3376..3420, 3421..3465, 3466..3510, 3511..3555, 3556..3600, 3601..3645, 3646..3690, 3691..3735, 3736..3780, 3781..3825, 3826..3870, 3871..3915, 3916..3960, 3961..4005, 4006..4050, 4051..4095, 4096..4140, 4141..4185, 4186..4230, 4231..4275, 4276..4320, 4321..4365, 4366..4410, 4411..4455, 4456..4500, 4501..4545, 4546..4590, 4591..4635, 4636..4680, 4681..4725, 4726..4770, 4771..4815, 4816..4860, 4861..4905, 4906..4950, 4951..4995, 4996..5040, 5041..5085, 5086..5130, 5131..5175, 5176..5220, 5221..5265, 5266..5310, 5311..5355, 5356..5400, 5401..5445, 5446..5490, 5491..5535, 5536..5580, 5581..5625, 5626..5670, 5671..5715, 5716..5760, 5761..5805, 5806..5850, 5851..5895, 5896..5940, 5941..5985, 5986..6030, 6031..6075, 6076..6120, 6121..6165, 6166..6210, 6211..6255, 6256..6300, 6301..6345, 6346..6390, 6391..6435, 6436..6480, 6481..6525, 6526..6570, 6571..6615, 6616..6660, 6661..6705, 6706..6750, 6751..6795, 6796..6840, 6841..6885, 6886..6930, 6931..6975, 6976..7020, 7021..7065, 7066..7110, 7111..7155, 7156..7200, 7201..7245, 7246..7290, 7291..7335, 7336..7380, 7381..7425, 7426..7470, 7471..7515, 7516..7560, 7561..7605, 7606..7650, 7651..7695, 7696..7740, 7741..7785, 7786..7830, 7831..7875, 7876..7920, 7921..7965, 7966..8010, 8011..8055, 8056..8100, 8101..8145, 8146..8190, 8191..8235, 8236..8280, 8281..8325, 8326..8370, 8371..8415, 8416..8460, 8461..8505, 8506..8550, 8551..8595, 8596..8640, 8641..8685, 8686..8730, 8731..8775, 8776..8820, 8821..8865, 8866..8910, 8911..8955, 8956..9000, 9001..9045, 9046..9090, 9091..9135, 9136..9180, 9181..9225, 9226..9270, 9271..9315, 9316..9360, 9361..9405, 9406..9450, 9451..9495, 9496..9540, 9541..9585, 9586..9630, 9631..9675, 9676..9720, 9721..9765, 9766..9810, 9811..9855, 9856..9900, 9901..9945, 9946..9990, 9991..10035, 10036..10080, 10081..10125, 10126..10170, 10171..10215, 10216..10260, 10261..10305, 10306..10350, 10351..10395, 10396..10440, 10441..10485, 10486..10530, 10531..10575, 10576..10620, 10621..10665, 10666..10710, 10711..10755, 10756..10800, 10801..10845, 10846..10890, 10891..10935, 10936..10980, 10981..11025, 11026..11070, 11071..11115, 11116..11160, 11161..11205, 11206..11250, 11251..11295, 11296..11340, 11341..11385, 11386..11430, 11431..11475, 11476..11520, 11521..11565, 11566..11610, 11611..11655, 11656..11700, 11701..11745, 11746..11790, 11791..11835, 11836..11880, 11881..11925, 11926..11970, 11971..12015, 12016..12060, 12061..12105, 12106..12150, 12151..12195, 12196..12240, 12241..12285, 12286..12330, 12331..12375, 12376..12420, 12421..12465, 12466..12510, 12511..12555, 12556..12600, 12601..12645, 12646..12690, 12691..12735, 12736..12780, 12781..12825, 12826..12870, 12871..12915, 12916..12960, 12961..13005, 13006..13050, 13051..13095, 13096..13140, 13141..13185, 13186..13230, 13231..13275, 13276..13320, 13321..13365, 13366..13410, 13411..13455, 13456..13500, 13501..13545, 13546..13590, 13591..13635, 13636..13680, 13681..13725, 13726..13770, 13771..13815, 13816..13860, 13861..13905, 13906..13950, 13951..13995, 13996..14040, 14041..14085, 14086..14130, 14131..14175, 14176..14220, 14221..14265, 14266..14310, 14311..14355, 14356..14400, 14401..14445, 14446..14490, 14491..14535, 14536..14580, 14581..14625, 14626..14670, 14671..14715, 14716..14760, 14761..14805, 14806..14850, 14851..14895, 14896..14940, 14941..14985, 14986..15030, 15031..15075, 15076..15120, 15121..15165, 15166..15210, 15211..15255, 15256..15300, 15301..15345, 15346..15390, 15391..15435, 15436..15480, 15481..15525, 15526..15570, 15571..15615, 15616..15660
|