SOLUTION: Please will someone help me I can't get this question correct. It's determining where the function is increasing/decreasing. I set their derivative to zero but it isn't helping.

Algebra ->  Functions -> SOLUTION: Please will someone help me I can't get this question correct. It's determining where the function is increasing/decreasing. I set their derivative to zero but it isn't helping.       Log On


   



Question 997691: Please will someone help me I can't get this question correct. It's determining where the function is increasing/decreasing. I set their derivative to zero but it isn't helping.
Here are the problems
http://imgur.com/k4hAlxI
http://imgur.com/MvS7VBn
Thank you

Found 2 solutions by MathLover1, ikleyn:
Answer by MathLover1(20850) About Me  (Show Source):
You can put this solution on YOUR website!
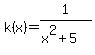
k%28x%29=1%2F%28x%5E2%2B5%29...this function is defined for all x except one that makes denominator equal to zero and that is x=sqrt%285%29 or approximately x=2.24
max1%2F%28x%5E2%2B5%29+=+1%2F5 at x+=+0, in your case a
so,
from -infinity to a function is increasing
and from a to infinity function is decreasing

interval where function is increasing is: (-infinity,a]

Answer by ikleyn(52794) About Me  (Show Source):
You can put this solution on YOUR website!
.

1)  http://imgur.com/k4hAlxI                     


k(x) = 1%2F%28x%5E2%2B5%29.

k(x) = %28x%5E2%2B5%29%5E%28-2%29,

k'(x) = %28-2%29.%28x%5E2%2B5%29%5E%28-3%29.2x



            Plot  1%2F%28x%5E2%2B5%29

k'(x)  is positive at  x < 0  and is negative at  x > 0.

k(x)  is increasing in the interval  (-infinity, 0].
k(x)  is decreasing in the interval  [0, infinity).