SOLUTION: The first two are finding the domain and the last three are simplifying expressions. The slashes means it is in fraction form. I'm sure everyone already knew that. I really wish th

Algebra ->  Functions -> SOLUTION: The first two are finding the domain and the last three are simplifying expressions. The slashes means it is in fraction form. I'm sure everyone already knew that. I really wish th      Log On


   



Question 993278: The first two are finding the domain and the last three are simplifying expressions. The slashes means it is in fraction form. I'm sure everyone already knew that. I really wish there was a way to do a fraction bar on here. Thank you for any help!
R(X)= 3+2x/x^3+x^2-2x
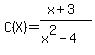
C(X)= x+3/x^2-4
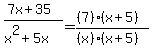
7x+35/x^2+5x
x^2+7x/x^2+5x-14
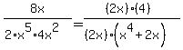
8x/2*x^5*4x^2

Answer by macston(5194) About Me  (Show Source):
You can put this solution on YOUR website!
FIND THE DOMAIN:
R%28X%29=+%283%2B2x%29%2F%28x%5E3%2Bx%5E2-2x%29
.
The domain is limited to prevent division by zero:
x%5E3%2Bx%5E2-2x≠0
%28x%29%28x%5E2%2Bx-2%29≠0
%28x%29%28x%2B2%29%28x-1%29≠0
x≠0 and x+2≠0 and x-1≠0
x≠0 and x≠-2 and x≠1
The domain is all x not equal to 0,-2, or 1.
.
C%28X%29=+%28x%2B3%29%2F%28x%5E2-4%29
.
The domain is limited to prevent division by zero:≠0
%28x%5E2-4%29≠0
%28x-2%29%28x%2B2%29≠0
x-2≠0 and x+2≠0
x≠2 and x≠-2
The domain is all x not equal to 2 or -2.
.
SIMPLIFY:
The use of parenthesis would help.
I am guessing at some of these equations.
.
%287x%2B35%29%2F%28x%5E2%2B5x%29=%28%287%29%28x%2B5%29%29%2F%28%28x%29%28x%2B5%29%29=7%2Fx
.
%28x%5E2%2B7x%29%2F%28x%5E2%2B5x-14%29=%28%28x%29%28x%2B7%29%29%2F%28%28x-2%29%28x%2B7%29%29=x%2F%28x-2%29
.
8x%2F%282%2Ax%5E5%2A4x%5E2%29=%28%282x%29%284%29%29%2F+%28%282x%29%28x%5E4%2B2x%29%29=4%2F%28x%5E4%2B2x%29