SOLUTION: f(x)= 7/x + 7/x+4 such that f(x)= 1 So I set up the problem like this 1= 7/x + 7/x+4 and I get stuck. I'm supposed to solve using the quadratic formula. Help!

Algebra ->  Functions -> SOLUTION: f(x)= 7/x + 7/x+4 such that f(x)= 1 So I set up the problem like this 1= 7/x + 7/x+4 and I get stuck. I'm supposed to solve using the quadratic formula. Help!       Log On


   



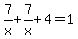
Question 980157: f(x)= 7/x + 7/x+4 such that f(x)= 1
So I set up the problem like this 1= 7/x + 7/x+4 and I get stuck. I'm supposed to solve using the quadratic formula. Help!

Found 2 solutions by josgarithmetic, MathTherapy:
Answer by josgarithmetic(39618) About Me  (Show Source):
You can put this solution on YOUR website!
Skills with fractions already studied (and learned through Algebra 1 study). Lowest or simplest common denominator is x.

7%2Fx%2B7%2Fx%2B4=1

7%2Fx%2B4=11

7%2Fx=11-4

7%2Fx=7

x=1

This function and equation will not use steps with any quadratic equation.

Answer by MathTherapy(10552) About Me  (Show Source):
You can put this solution on YOUR website!

f(x)= 7/x + 7/x+4 such that f(x)= 1
So I set up the problem like this 1= 7/x + 7/x+4 and I get stuck. I'm supposed to solve using the quadratic formula. Help!
1+=+7%2Fx+%2B+7%2F%28x+%2B+4%29 <-------- Good job up to here
x%28x+%2B+4%29+=+7%28x+%2B+4%29+%2B+7x --------- Multiplying by LCD: x(x + 4)
x%5E2+%2B+4x+=+7x+%2B+28+%2B+7x
x%5E2+%2B+4x+-+7x+=+14x+%2B+28
x%5E2+%2B+4x+-+14x+-+28+=+0
x%5E2+-+10x+-+28+=+0
Solve the above trinomial for x, using the quadratic equation formula.