SOLUTION: Construct a rational function g(x) such that its natural domain is all of R and its range is given by the interval [−1, 0)

Algebra ->  Functions -> SOLUTION: Construct a rational function g(x) such that its natural domain is all of R and its range is given by the interval [−1, 0)      Log On


   



Question 958989: Construct a rational function g(x) such that its natural domain is all of R and its range is given
by the interval [−1, 0)

Answer by jsmallt9(3758) About Me  (Show Source):
You can put this solution on YOUR website!
  • For the function to be a true rational function, it must take the form:
    n%28x%29%2Fd%28x%29 where n(x) and d(x) are polynomial functions of x and d(x) is not a constant function.
  • For the function to have a natural domain of all real numbers, d(x) must be a function with no (real) zeros.
  • For the function to have a range which does not include zero, n(x) must be a function with no (real) zeros.
  • For a function to have a range which includes -1, there must be at least one x for which n(x) = -d(x).
  • For the remainder of the range, both of the following must be true for all x's excepts the one(s) which make g(x) = -1:
    • |n(x)| < |d(x)|
    • the signs of n(x) and d(x) are opposites.

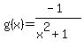
Putting all this together I came up with:
g%28x%29+=+%28-1%29%2F%28x%5E2%2B1%29
This is not the only possible solution. For example, the 1's in the function above can be replaced with any positive number, And I imagine there may be many additional functions which are significantly different from this one and still meet the requirements of the problem.