SOLUTION: The graph of a function F is a parabola that has the x-intercepts 7 and 13. The function has a minimum value of -12. The function is F(x) = Please explain THANK YOU

Algebra ->  Functions -> SOLUTION: The graph of a function F is a parabola that has the x-intercepts 7 and 13. The function has a minimum value of -12. The function is F(x) = Please explain THANK YOU      Log On


   



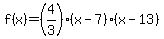
Question 932975: The graph of a function F is a parabola that has the x-intercepts 7 and 13. The function has a minimum value of -12.
The function is
F(x) =
Please explain
THANK YOU

Answer by josgarithmetic(39618) About Me  (Show Source):
You can put this solution on YOUR website!
Already done a few minutes ago.

f%28x%29=%284%2F3%29%28x-7%29%28x-13%29