You are selling banana bread that costs P 5 each. Each week, you have 50
customers. When you decrease the price by P1, you expect 30 customers to be
added. What is the price of the banana bread that yields a maximum profit?
a. Analyze the problem.
b. What is the weekly sale if the cost of the banana bread is P5?
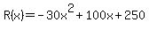
c. If the revenue (R) = number of bread x bread price. Write the equation of
the quadratic function given the situation above?
d. What is the price that yields the maximum revenue?
e. Find the maximum revenue.
b.
Weekly sale, at original price of P 5, and customer-count (sales units) of 50: 5(50), or P 250
c.
d.
Reduced price that yields maximum revenue:
e.
Maximum revenue derived from reduced price of P 3.33, and increased customer-count (sales units) of 100: P
You can do the check!!
===================
If you need a complete and detailed solution, let me know!!
Send comments, “thank-yous,” and inquiries to “D” at MathMadEzy@aol.com.
Further help is available, online or in-person, for a fee, obviously.
For FREE info and answers to questions about the ASVAB exam, the NYS 3 – 8 city/state wide exams,GENERAL
MATH and HOMEWORK QUESTIONS, or MATH QUESTIONS related to the Regents Integrated Algebra,
Regents Geometry, Regents Algebra 2/Trigonometry, SHSAT, COOP/HSPT/TACHS, PSAT, SAT, ACT, SSAT/ISEE,
GRE, CLEP, and the TASC/GED, you can visit: http://asvabstudyzone.freeforums.net/.