SOLUTION: Find the 4th term in the sequence: B(1)=1 and B(n)=(B(n-1))^(2)+5 My answer is 1686. Am I correct? Please show me the working.

Algebra ->  Functions -> SOLUTION: Find the 4th term in the sequence: B(1)=1 and B(n)=(B(n-1))^(2)+5 My answer is 1686. Am I correct? Please show me the working.      Log On


   



Question 899341: Find the 4th term in the sequence:
B(1)=1 and B(n)=(B(n-1))^(2)+5
My answer is 1686. Am I correct?
Please show me the working.

Answer by josmiceli(19441) About Me  (Show Source):
You can put this solution on YOUR website!
+B%5B1%5D+=+1+
+B%5Bn%5D+=+%28+B%5Bn-1%5D+%29%5E2+%2B+5+
-------------------------
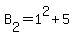
+B%5B2%5D+=+%28+B%5B1%5D+%29%5E2+%2B+5+
+B%5B2%5D+=+1%5E2+%2B+5+
+B%5B2%5D+=+6+
--------------
+B%5B3%5D+=+%28+B%5B2%5D+%29%5E2+%2B+5+
+B%5B3%5D+=+6%5E2+%2B+5+
+B%5B3%5D+=+41+
----------------
+B%5B4%5D+=+%28+B%5B3%5D+%29%5E2+%2B+5+
+B%5B4%5D+=+41%5E2+%2B+5+
+B%5B4%5D+=+1681+%2B+5+
+B%5B4%5D+=+1686+
-----------------
Looks OK to me