SOLUTION: find g(b-2)for g(x)=4-x/3+x
Algebra
->
Functions
-> SOLUTION: find g(b-2)for g(x)=4-x/3+x
Log On
Algebra: Functions, Domain, NOT graphing
Section
Solvers
Solvers
Lessons
Lessons
Answers archive
Answers
Click here to see ALL problems on Functions
Question 898690
:
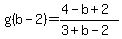
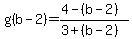
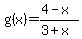
find g(b-2)for g(x)=4-x/3+x
Answer by
Fombitz(32388)
(
Show Source
):
You can
put this solution on YOUR website!