(fog)(x)=x²-2x+1 factors as (x-1)², which is also (-x+1)²
The easiest pair of functions is this one
f(x) = x², g(x) = x-1
So choose f(x) = (ax+b)² and g(x) = cx+d
Then fog(x) = [a(cx+d)+b]²
Then fog(x) = [acx+ad+b]²
You want that to come out to be either (x-1)² or (-x+1)²
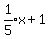
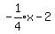
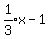
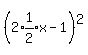
1. Make up any number for a
2. Then c will have to be either the reciprocal of a or the
negative of the reciprocal of a so we'll get x if we're
making (x-1)², or -x if we're making (-x+1)²
3, Then we choose b to make ad+b come out to be -1 if we're
making (x-1)² or +1 if we're making (-x+1)².
Here are 6 made up that way. We can make up as many as we like.


,









----------------------------


,









----------------------------


,









----------------------------


,







----------------------------


,







----------------------------


,









Edwin