SOLUTION: A function is called even if f(-x)=f(x)for every value of x. Show that f(x)=x^2-x^-2 is even.

Algebra ->  Functions -> SOLUTION: A function is called even if f(-x)=f(x)for every value of x. Show that f(x)=x^2-x^-2 is even.      Log On


   



Question 881358: A function is called even if f(-x)=f(x)for every value of x. Show that f(x)=x^2-x^-2 is even.
Answer by Fombitz(32388) About Me  (Show Source):
You can put this solution on YOUR website!
f%28x%29=x%5E2-1%2Fx%5E2
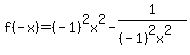
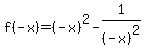
f%28-x%29=%28-x%29%5E2-1%2F%28-x%29%5E2
f%28-x%29=%28-1%29%5E2x%5E2-1%2F%28%28-1%29%5E2x%5E2%29
f%28-x%29=x%5E2-1%2Fx%5E2
So,
f%28-x%29=f%28x%29 so it is an even function.