SOLUTION: How do i find a function that has a domain of x>1/2 and x does not equal 3 or 5?

Algebra ->  Functions -> SOLUTION: How do i find a function that has a domain of x>1/2 and x does not equal 3 or 5?       Log On


   



Question 864545: How do i find a function that has a domain of x>1/2 and x does not equal 3 or 5?

Found 2 solutions by Fombitz, stanbon:
Answer by Fombitz(32388) About Me  (Show Source):
You can put this solution on YOUR website!
Build it yourself.
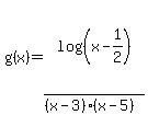
f%28x%29=log%28%28x-1%2F2%29%29 has a domain of x%3E1%2F2
Now divide by a denominator that goes to zero when x=3 and x=5 and you're done.
g%28x%29=log%28%28x-1%2F2%29%29%2F%28%28x-3%29%28x-5%29%29


Answer by stanbon(75887) About Me  (Show Source):
You can put this solution on YOUR website!
How do i find a function that has a domain of x>1/2 and x does not equal 3 or 5?
------------------
f(x) = sqrt(x-(1/2))/[(x-3)(x-5)]
========================================
Cheers,
Stan H.
------------------------