SOLUTION: Got an answer that is too complicated to be correct for this: Find the difference quotient of f, that is, find [f (x + h) - f (x)]/h, where h does not = 0 for the given functio

Algebra ->  Functions -> SOLUTION: Got an answer that is too complicated to be correct for this: Find the difference quotient of f, that is, find [f (x + h) - f (x)]/h, where h does not = 0 for the given functio      Log On


   



Question 844509: Got an answer that is too complicated to be correct for this:
Find the difference quotient of f, that is, find [f (x + h) - f (x)]/h, where
h does not = 0 for the given function. Be sure to simplify.
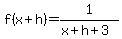
f(x) = 1/(x + 3)

Can anyone help?

Answer by Fombitz(32388) About Me  (Show Source):