SOLUTION: What is a function satisfies the condition: A function that has a vertical asymptotes at -2 and 2
Algebra
->
Functions
-> SOLUTION: What is a function satisfies the condition: A function that has a vertical asymptotes at -2 and 2
Log On
Algebra: Functions, Domain, NOT graphing
Section
Solvers
Solvers
Lessons
Lessons
Answers archive
Answers
Click here to see ALL problems on Functions
Question 843214
:
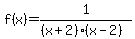
What is a function satisfies the condition:
A function that has a vertical asymptotes at -2 and 2
Answer by
Fombitz(32388)
(
Show Source
):
You can
put this solution on YOUR website!
is one of them.
,
,