SOLUTION: (x-2)^2 =25 how do I do this
Algebra
->
Functions
-> SOLUTION: (x-2)^2 =25 how do I do this
Log On
Algebra: Functions, Domain, NOT graphing
Section
Solvers
Solvers
Lessons
Lessons
Answers archive
Answers
Click here to see ALL problems on Functions
Question 838855
:
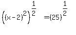
(x-2)^2 =25 how do I do this
Answer by
josgarithmetic(39620)
(
Show Source
):
You can
put this solution on YOUR website!