|
Question 828414: what are the solutions of 4x2-21x-18=0
Found 3 solutions by TimothyLamb, LinnW, MathTherapy: Answer by TimothyLamb(4379) (Show Source):
You can put this solution on YOUR website! ---
4x^2 - 21x - 18 =0
---
the above quadratic equation is in standard form, with a=4, b=-21, and c=-18
---
to solve the quadratic equation, by using the quadratic formula, copy and paste this:
4 -21 -18
into this solver: https://sooeet.com/math/quadratic-equation-solver.php
---
the quadratic has two real roots at:
---
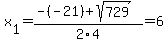
x = 6
x = -0.75
---
Solve and graph linear equations:
https://sooeet.com/math/linear-equation-solver.php
---
Solve quadratic equations, quadratic formula:
https://sooeet.com/math/quadratic-formula-solver.php
---
Solve systems of linear equations up to 6-equations 6-variables:
https://sooeet.com/math/system-of-linear-equations-solver.php
Answer by LinnW(1048) (Show Source): Answer by MathTherapy(10552) (Show Source):
You can put this solution on YOUR website!
what are the solutions of 4x2-21x-18=0
Factors of - 72 (a * c) that sum to - 21 (b) are: - 24 and + 3
Thus, we have: 


4x + 3 = 0 OR x - 6 = 0
4x = 0 - 3 OR x = 0 + 6
OR 
You can do the check!!
Send comments, “thank-yous,” and inquiries to “D” at MathMadEzy@aol.com.
Further help is available, online or in-person, for a fee, obviously.
For FREE info and answers to questions about the ASVAB exam, the NYS 3 – 8 city/state wide exams,
GENERAL MATH QUESTIONS, MATH HOMEWORK QUESTIONS, or MATH QUESTIONS related to the Regents Integrated Algebra,
Regents Geometry, Regents Algebra 2/Trigonometry, SHSAT, COOP/HSPT/TACHS, PSAT, SAT, ACT, SSAT/ISEE, GRE, CLEP,
and the GED, you can visit: http://asvabstudyzone.freeforums.net/.
|
|
|
| |