SOLUTION: f(a+b) = f(a)+ f(b) for all positive numbers a and b a) f(x) = x squared b) f(x) = x+1 c) f(x) = square root x d) f(x) = 2/x e) f(x) = -3x Thanks, Casey

Algebra ->  Functions -> SOLUTION: f(a+b) = f(a)+ f(b) for all positive numbers a and b a) f(x) = x squared b) f(x) = x+1 c) f(x) = square root x d) f(x) = 2/x e) f(x) = -3x Thanks, Casey      Log On


   



Question 74102: f(a+b) = f(a)+ f(b) for all positive numbers a and b
a) f(x) = x squared
b) f(x) = x+1
c) f(x) = square root x
d) f(x) = 2/x
e) f(x) = -3x
Thanks,
Casey

Answer by jim_thompson5910(35256) About Me  (Show Source):
You can put this solution on YOUR website!
If we let a=2 and b=3 (arbitrary numbers) and we plug them into each possible equation, we can eliminate the wrong answers.
a)Lets start with our first possible answer.
f(a+b) = f(a)+ f(b) Plug in a=2,b=3
f(2+3)=f(2)+f(3)
%282%2B3%29%5E2=2%5E2%2B3%5E2
25=4%2B9
25=9Which is obviously not equal, so that eliminates a) continue with the rest by plugging in a+b in for x on the left and a and b separately for x on the right.

b)
%282%2B3%29%2B1=%282%2B1%29%2B%283%2B1%29
6=7Which is not equal, that eliminates b)

c)
sqrt%282%2B3%29=sqrt%282%29%2Bsqrt%283%29
sqrt%285%29=1.414%2B1.732
2.236=3.146Which is not equal, so that eliminates c)

d)
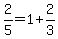
2%2F%282%2B3%29=2%2F2%2B2%2F3
2%2F5=1%2B2%2F3
2%2F5=5%2F3Not equal, that eliminates d). There's only one left, lets verify if this is our answer.

e)
-3%282%2B3%29=-3%282%29%2B%28-3%283%29%29
-3%285%29=-6-9
-15=-15Which works. Notice how the two sides are simply the right side has distributed the -3 where the left side factored the -3