SOLUTION: subtract and simplify 2/(x+1)-3/(x-3)

Algebra ->  Functions -> SOLUTION: subtract and simplify 2/(x+1)-3/(x-3)      Log On


   



Question 69209: subtract and simplify 2/(x+1)-3/(x-3)
Answer by ptaylor(2198) About Me  (Show Source):
You can put this solution on YOUR website!
subtract and simplify:
2%2F%28x%2B1%29-3%2F%28x-3%29 Lets first get a common denominator. We do this by multiplying each term by %28%28x%2B1%29%28x-3%29%29%2F%28%28x%2B1%29%28x-3%29%29

reducing we get:
%282%28x-3%29-3%28x%2B1%29%29%2F%28%28x%2B1%29%28x-3%29%29
Next get rid of parens in numerator:
%282x-6-3x-3%29%2F%28%28x%2B1%29%28x-3%29%29
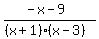
Collect like terms in numerator:
%28-x-9%29%2F%28%28x%2B1%29%28x-3%29%29
-%28x%2B9%29%2F%28%28x%2B1%29%28x-3%29%29
Unless I goofed, that should be it

Hope this helps---ptaylor