|
Question 690993: How do I solve a problem like this?

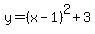
a. Find the domain and range of f
b. Find 
c. Find the domain and range of 
d. Is a function?
Answer by mouk(232) (Show Source):
You can put this solution on YOUR website!
a) Find the domain and range of f
domain of f is set of values of x that can be used. There are no values of x for which the function misbehaves, so domain is
range of f is the set of values that the function f produces.
Now, for all values of x
so, for all values of x
hence, range is or
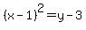
b) Find 
Let , we need to re-arrange and make x the subject of the equation



This is the inverse function, so
c. Find the domain and range of
domain of is set of values of x that can be used. So 
so domain is
range of is the set of values that the function produces, this is all real values, so
Also, note that the domain of f = range of 
and, range of f = domain of
so finding are consistent with (a)
d. Is a function?
A function must provide a 1:1 mapping, so because of the plus/minus sign then will produce two values for any given input value of x.
Hence, is not a function.
|
|
|
| |