SOLUTION: If f(x) = (x - 2)^1/3, then f^-1(x) = a. (x3 + 1)/2 b. (x3 - 1)/2 c. (x3 + 2)/2 d. (x3 - 2)/2 e. x3 - 2 f. x3 + 2 g. none of these

Algebra ->  Functions -> SOLUTION: If f(x) = (x - 2)^1/3, then f^-1(x) = a. (x3 + 1)/2 b. (x3 - 1)/2 c. (x3 + 2)/2 d. (x3 - 2)/2 e. x3 - 2 f. x3 + 2 g. none of these      Log On


   



Question 51040: If f(x) = (x - 2)^1/3, then f^-1(x) =
a. (x3 + 1)/2
b. (x3 - 1)/2
c. (x3 + 2)/2
d. (x3 - 2)/2
e. x3 - 2
f. x3 + 2
g. none of these

Found 2 solutions by stanbon, Earlsdon:
Answer by stanbon(75887) About Me  (Show Source):
You can put this solution on YOUR website!
f(x) = (x - 2)^1/3, then f^-1(x) =?
----------------
y=(x-2)^(1/3)
Interchange x and y to get:
x=(y-2)^(1/3)
Solve for y as follows:
Raise both sides to the 3rd power to get:
x^3=y-2
y=x^3+2
That is the inverse function.
Cheers,
Stan H.

Answer by Earlsdon(6294) About Me  (Show Source):
You can put this solution on YOUR website!
If f%28x%29+=+%28x-2%29%5E%281%2F3%29, find f%5E-1%28x%29
First, replace f(x) with y, so now you have:
y+=+%28x-2%29%5E%281%2F3%29 Cube both sides.
y%5E3+=+x-2 Interchange the variables.
x%5E3+=+y-2 Now solve for y.
y+=+x%5E3%2B2 Finally, replace y with f%5E-1%28x%29
f%5E-1%28x%29+=+x%5E3%2B2 This is choice f. in your list.
Check:
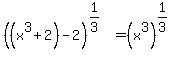
f%28f%5E-1%28x%29%29+=+f%28x%5E3%2B2%29 = %28%28x%5E3%2B2%29-2%29%5E%281%2F3%29+=+%28x%5E3%29%5E%281%2F3%29 = x
f%5E-1%28f%28x%29%29+=+f%5E-1%28x-2%29%5E%281%2F3%29 = %28%28x%5E3%2B2%29-2%29%5E%281%2F3%29+=+%28x%5E3%29%5E%281%2F3%29 = x
The above check is based on the following:
f(x) and g(x) are inverses of each other iff:
f(g(x)) = x for all x in the domain of g, and g(f(x)) = x for all x in the domain of f.