SOLUTION: f(x) is a third degree polynomial having only real coefficients. It has 5 and -i as zeros, and the point (-2,105) lies on the graph. Find f(x)

Algebra ->  Functions -> SOLUTION: f(x) is a third degree polynomial having only real coefficients. It has 5 and -i as zeros, and the point (-2,105) lies on the graph. Find f(x)      Log On


   



Question 415107: f(x) is a third degree polynomial having only real coefficients. It has 5 and -i as zeros, and the point (-2,105) lies on the graph. Find f(x)
Answer by robertb(5830) About Me  (Show Source):
You can put this solution on YOUR website!
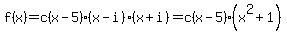
If -i is a zero, then so is i, its complex conjugate. Hence
f%28x%29+=+c%28x+-+5%29%28x+-+i%29%28x+%2B+i%29+=+c%28x-5%29%28x%5E2+%2B+1%29.
Solve for c :
c%28-2+-+5%29%28%28-2%29%5E2+%2B+1%29+=+105 ==> c(-7)(5) = 105 ==> c = -3.
Therefore f%28x%29+=+-3%28x+-+5%29%28x%5E2+%2B+1%29