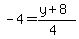
SOLUTION: Find y if the line containing (3,-8) + (7,y) has a slope of -4.
Algebra
->
Functions
-> SOLUTION: Find y if the line containing (3,-8) + (7,y) has a slope of -4.
Log On
Algebra: Functions, Domain, NOT graphing
Section
Solvers
Solvers
Lessons
Lessons
Answers archive
Answers
Click here to see ALL problems on Functions
Question 39591
This question is from textbook
:
Find y if the line containing (3,-8) + (7,y) has a slope of -4.
This question is from textbook
Answer by
Nate(3500)
(
Show Source
):
You can
put this solution on YOUR website!