|
Question 389690: Without graphing, find the domain of the following functions:
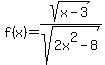
a) , and
b) .
Found 2 solutions by josmiceli, robertb: Answer by josmiceli(19441) (Show Source): Answer by robertb(5830) (Show Source):
You can put this solution on YOUR website! a) Since there is a square root symbol, we have to ensure that . To find the critical numbers, determine all x values that make either the top or the bottom equal to 0. By inspection they are -2, 2, and 3. These critical numbers partition the real number line into 4 parts. Choosing the test numbers -3, 0, 2.5, and 4, and checking for the signs:
For ( , -2), .
For (-2, 2), .
For (2,3), .
For (3, ), .
Of the critical numbers, only 3 can be accepted, and not 2 and -2. Therefore the domain is (-2, 2)U [3, ).
b) The radical symbol is a cube-root symbol, and every real number has a cube root (whether positive or negative). Then the only thing we have to ensure is that the denominator won't be 0. The x-values that make the denominator 0 are -3 and 3. Hence the domain is the set of all real numbers except -3 and 3, or R\{-3, 3}.
|
|
|
| |