SOLUTION: f(x)=1+(3/(x-2)) Find the inverse function f^-1(x)

Algebra ->  Functions -> SOLUTION: f(x)=1+(3/(x-2)) Find the inverse function f^-1(x)      Log On


   



Question 349121: f(x)=1+(3/(x-2))
Find the inverse function f^-1(x)

Answer by Fombitz(32388) About Me  (Show Source):
You can put this solution on YOUR website!
Use x-y format.
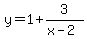
y=1%2B3%2F%28x-2%29
Now interchange x and y and solve for y.
That'll be the inverse.
highlight%28x%29=1%2B3%2F%28highlight%28y%29-2%29
x-1=3%2F%28y-2%29
y-2=3%2F%28x-1%29
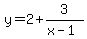
y=2%2B3%2F%28x-1%29
highlight_green%28f%5E%28-1%29%28x%29=2%2B3%2F%28x-1%29%29