SOLUTION: please find the derivatives of the function given by y= (1+lnx)/(2-x^2) could you please show working.

Algebra ->  Functions -> SOLUTION: please find the derivatives of the function given by y= (1+lnx)/(2-x^2) could you please show working.      Log On


   



Question 328744: please find the derivatives of the function given by
y= (1+lnx)/(2-x^2)
could you please show working.

Answer by Fombitz(32388) About Me  (Show Source):
You can put this solution on YOUR website!
y=%281%2Bln%28x%29%29%2A%282-x%5E2%29%5E%28-1%29}
Use the product rule,
y=fg
y'=fg'+gf'

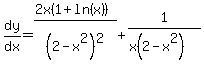
dy%2Fdx=%282x%281%2Bln%28x%29%29%29%2F%282-x%5E2%29%5E2%2B1%2F%28x%282-x%5E2%29%29