SOLUTION: Find f(r+1) f(x)=3/x-6 Teacher wasn't clear and I'm lost as to where to start. Please help!!!!

Algebra ->  Functions -> SOLUTION: Find f(r+1) f(x)=3/x-6 Teacher wasn't clear and I'm lost as to where to start. Please help!!!!      Log On


   



Question 316119: Find f(r+1)
f(x)=3/x-6
Teacher wasn't clear and I'm lost as to where to start. Please help!!!!

Answer by jim_thompson5910(35256) About Me  (Show Source):
You can put this solution on YOUR website!
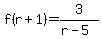
If the function is f%28x%29=3%2F%28x-6%29, then....


f%28x%29=3%2F%28x-6%29 Start with the given function.


f%28r%2B1%29=3%2F%28r%2B1-6%29 Plug in x=r%2B1. In other words, simply replace each 'x' with 'r+1'


f%28r%2B1%29=3%2F%28r-5%29 Combine like terms.


--------------------------------------------------------
OR...

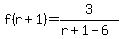
If the function is f%28x%29=3%2Fx-6, then....


f%28x%29=3%2Fx-6 Start with the given function.


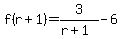
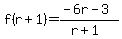
f%28r%2B1%29=3%2F%28r%2B1%29-6 Plug in x=r%2B1. In other words, simply replace each 'x' with 'r+1'


f%28r%2B1%29=3%2F%28r%2B1%29-%286%28r%2B1%29%29%2F%28r%2B1%29 Multiply 6 by %28r%2B1%29%2F%28r%2B1%29


f%28r%2B1%29=%283-6%28r%2B1%29%29%2F%28r%2B1%29 Combine the fractions.


f%28r%2B1%29=%283-6r-6%29%2F%28r%2B1%29 Distribute.


f%28r%2B1%29=%28-6r-3%29%2F%28r%2B1%29 Combine like terms.