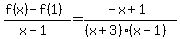
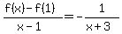
SOLUTION: for the function, find the average rate of change of f from 1 to x: f(x)-f(1)/x-1, x isnot equal to 1 f(x) =4/(x+3)

Algebra ->  Functions -> SOLUTION: for the function, find the average rate of change of f from 1 to x: f(x)-f(1)/x-1, x isnot equal to 1 f(x) =4/(x+3)       Log On


   



Question 312183: for the function, find the average rate of change of f from 1 to x:
f(x)-f(1)/x-1, x isnot equal to 1
f(x) =4/(x+3)

Answer by Fombitz(32388) About Me  (Show Source):