SOLUTION: Is this correct? (5x^2-20)/(x^2+x-2)= 5(x^2-4)= 5(x+2)(x-2)= (5(x-2))/(x-1)

Algebra ->  Functions -> SOLUTION: Is this correct? (5x^2-20)/(x^2+x-2)= 5(x^2-4)= 5(x+2)(x-2)= (5(x-2))/(x-1)      Log On


   



Question 22363: Is this correct?
(5x^2-20)/(x^2+x-2)=
5(x^2-4)=
5(x+2)(x-2)=
(5(x-2))/(x-1)

Answer by rahman(247) About Me  (Show Source):
You can put this solution on YOUR website!
Yes, this is correct.
I've just confirm this problem:
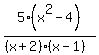
%285x%5E2-20%29%2F%28x%5E2%2Bx-2%29
=5%28x%5E2-4%29%2F%28%28x%2B2%29%28x-1%29%29
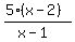
=%285%2A%28cross%28x%2B2%29%29%28x-2%29%29%2F%28%28cross%28x%2B2%29%29%28x-1%29%29
=%285%2A%28x-2%29%29%2F%28x-1%29