SOLUTION: I have to find the composition of functions! Can't figure this one out either! Last one! g(x)=(x^2-16)^1/2 f(x)=(3-x)^1/2 Thanks for all the help!!!

Algebra ->  Functions -> SOLUTION: I have to find the composition of functions! Can't figure this one out either! Last one! g(x)=(x^2-16)^1/2 f(x)=(3-x)^1/2 Thanks for all the help!!!      Log On


   



Question 214738: I have to find the composition of functions! Can't figure this one out either!
Last one!
g(x)=(x^2-16)^1/2 f(x)=(3-x)^1/2

Thanks for all the help!!!

Answer by jim_thompson5910(35256) About Me  (Show Source):
You can put this solution on YOUR website!
Which composition(s) do you have to find? Do you have to find (f o g)(x) or (g o f)(x)? Or do you have to find (f o f)(x) or (g o g)(x)? Or is it something entirely different?


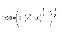
Finding (f o g)(x)


f%28x%29=%283-x%29%5E%281%2F2%29%5E%22%22 Start with the given function.


f%28g%28x%29%29=%283-%28x%5E2-16%29%5E%281%2F2%29%29%5E%281%2F2%29%5E%22%22 Plug in g%28x%29=%28x%5E2-16%29%5E%281%2F2%29


Since not much simplification is possible at this point, our answer is


f%28g%28x%29%29=%283-%28x%5E2-16%29%5E%281%2F2%29%29%5E%281%2F2%29%5E%22%22


Note: you may want to covert to radical notation to get


f%28g%28x%29%29=sqrt%283-sqrt%28x%5E2-16%29%29


This of course would depend on the book's/worksheet's/teacher's instructions.