SOLUTION: Given the function t(x)=-sqrt(x+2)+1, find the inverse [t-1(x)]. I've gotten as far as y=-x^2+3. I don't know if this is correct, I don't know how to figure out if it is. I'm pa

Algebra ->  Functions -> SOLUTION: Given the function t(x)=-sqrt(x+2)+1, find the inverse [t-1(x)]. I've gotten as far as y=-x^2+3. I don't know if this is correct, I don't know how to figure out if it is. I'm pa      Log On


   



Question 203520: Given the function t(x)=-sqrt(x+2)+1, find the inverse [t-1(x)].
I've gotten as far as y=-x^2+3. I don't know if this is correct, I don't know how to figure out if it is. I'm particularly perplexed about how I deal with the negative sign in front of the sqrt in the original problem.
These inverse problems are just mystifying - I don't get it. Please help me by showing me how you solve the problem.
Thanks so much!
Julia

Answer by jsmallt9(3758) About Me  (Show Source):
You can put this solution on YOUR website!
One way to think of a function is that it takes an x-value and, some way or another, it comes up with a y-value. The inverse of that function does the inverse: it takes the y-values from the function and, some way or another, it comes up with the x-value the function used. In other words the roles of the x and y are swapped. And this is exactly how we can figure out an inverse:
  1. Write the function, using "y" instead of "x":
    y+=+-sqrt%28x%2B2%29+%2B+1
  2. Swap the "x" and the "y". This changes the equation from the equation of the function to the equation of the inverse:
    x+=+-sqrt%28y%2B2%29+%2B+1
  3. Solve the inverse equation for y:
    Subtract -1 from both sides:
    x+-+1+=+-sqrt%28y%2B2%29
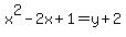
    Square both sides:
    %28x+-+1%29%5E2+=+y+%2B+2
    x%5E2+-2x+%2B+1+=+y+%2B+2
    Subtract 2 from both sides:
    x%5E2+-2x+-1+=+y
  4. Replace the "y" with f%5E%28-1%29%28x%29 (Note that Algebra.com's software incorrectly places a "*" between f%5E%28-1%29 and %28x%29):
    x%5E2+-2x+-1+=+f%5E%28-1%29%28x%29

The way to check is feed f(x) as an input to its inverse. It should work out to be x:
f%28x%29+=+-sqrt%28x%2B2%29+%2B+1
f%5E%28-1%29%28x%29+=+x%5E2+-2x+-1

Check! (Note how everything except the "x" cancels at the end.)