SOLUTION: how do you make x=y^2 + 1 to be y=
Algebra
->
Functions
-> SOLUTION: how do you make x=y^2 + 1 to be y=
Log On
Algebra: Functions, Domain, NOT graphing
Section
Solvers
Solvers
Lessons
Lessons
Answers archive
Answers
Click here to see ALL problems on Functions
Question 187900
:
how do you make x=y^2 + 1 to be y=
Answer by
jojo14344(1513)
(
Show Source
):
You can
put this solution on YOUR website!
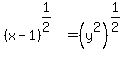
Given: x=y^2 + 1 ------> Finding "y":
Isolate "y" by moving terms all to the left (or right).
Raised both left & right terms to 1/2 :
---->
or,
Thank you,
Jojo