SOLUTION: Thank you in advance for your help. I do not understand what I need to do to find f^-1 and verify that (f o f^-1)(x)=x and (f^-1 o f )(x)=x the equation is f(x)=x/x+1 for x>-

Algebra ->  Functions -> SOLUTION: Thank you in advance for your help. I do not understand what I need to do to find f^-1 and verify that (f o f^-1)(x)=x and (f^-1 o f )(x)=x the equation is f(x)=x/x+1 for x>-      Log On


   



Question 178280This question is from textbook college algebras
: Thank you in advance for your help. I do not understand what I need to do to find f^-1 and verify that (f o f^-1)(x)=x and (f^-1 o f )(x)=x
the equation is
f(x)=x/x+1 for x>-1
This question is from textbook college algebras

Answer by Earlsdon(6294) About Me  (Show Source):
You can put this solution on YOUR website!
Verify that f%5E%28-1%29%28f%28x%29%29+=+x and f%28f%5E%28-1%29%28x%29%29+=+x for:
f%28x%29+=+x%2F%28x%2B1%29 forx%3E-1
First, you'll need to find f%5E%28-1%29%28x%29
Start with the given function:
f%28x%29+=+x%2F%28x%2B1%29 Substitute y for f%28x%29
y+=+x%2F%28x%2B1%29 Now exchange x and y.
x+=+y%2F%28y%2B1%29 Next, solve this for y. Multiply both sides by %28y%2B1%29
x%28y%2B1%29+=+y Expand the left side.
xy%2Bx+=+y Subtract xy from both sides.
x+=+y-xy Factor the y from the right side.
x+=+y%281-x%29 Divide both sides by %281-x%29
x%2F%281-x%29+=+y Now replace the y with f%5E%28-1%29%28x%29
highlight%28f%5E%28-1%29%28x%29+=+x%2F%281-x%29%29
Now you are in a position to find:
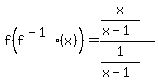
f%28f%5E%28-1%29%28x%29%29 Substitute f%5E%28-1%29%28x%29+=+x%2F%281-x%29 recalling that f%28x%29+=+x%2F%28x%2B1%29
f%28x%2F%281-x%29%29+=+%28%28x%2F%281-x%29%29%29%2F%28%28x%2F%281-x%29%29%2B1%29 Notice that where there is an x on the left side, it's replaced with x%2F%28x-1%29 on the right side. Now we'll simplify the right side.
f%28f%5E%28-1%29%28x%29%29+=+%28x%2F%28x-1%29%29%2F%281%2F%28x-1%29%29 Invert and multiply.
f%28f%5E%28-1%29%28x%29%29+=+%28x%2Fcross%28%28x-1%29%29%29%2A%28cross%28%28x-1%29%29%2F1%29
highlight%28f%28f%5E%28-1%29%28x%29%29+=+x%29
Do you think you can manage to show that f%5E%28-1%29%28f%28x%29%29+=+x?