SOLUTION: f(x)= x+1/3x-1 find the value of c if f(c)=c

Algebra ->  Functions -> SOLUTION: f(x)= x+1/3x-1 find the value of c if f(c)=c      Log On


   



Question 150581: f(x)= x+1/3x-1
find the value of c if f(c)=c

Answer by Fombitz(32388) About Me  (Show Source):
You can put this solution on YOUR website!
f(x)=(x+1)/(3x-1)
If f(c)=c, then
%28c%2B1%29%2F%283c-1%29=c
%28c%2B1%29=c%283c-1%29
c%2B1=3c%5E2-c
3c%5E2-2c-1=0
Using the quadratic formula to solve for c,
c+=+%28-%28-2%29+%2B-+sqrt%28+%28-2%29%5E2-4%2A3%2A%28-1%29+%29%29%2F%282%2A3%29+
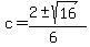
c+=+%282+%2B-+sqrt%28+4%2B12%29%29%2F%286%29+
c+=+%282+%2B-+sqrt%28+16%29%29%2F%286%29+
c+=+%282+%2B-+4%29%2F%286%29+
.
.
.
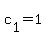
c%5B1%5D+=+%282+%2B+4%29%2F%286%29+
c%5B1%5D+=+%286%29%2F%286%29+
c%5B1%5D+=+1+
.
.
.
c%5B2%5D+=+%282+-+4%29%2F%286%29+
c%5B2%5D+=+%28-2%29%2F%286%29+
c%5B2%5D+=+-%281%2F3%29+