SOLUTION: I am having difficulty with functions please help!! Find functions f and g so that h(x)=(fºg)(x) h(x)=6/x² + 8

Algebra ->  Functions -> SOLUTION: I am having difficulty with functions please help!! Find functions f and g so that h(x)=(fºg)(x) h(x)=6/x² + 8       Log On


   



Question 133982: I am having difficulty with functions please help!!
Find functions f and g so that h(x)=(fºg)(x)
h(x)=6/x² + 8

Answer by solver91311(24713) About Me  (Show Source):
You can put this solution on YOUR website!
There are many ways:

f%28x%29=x, g%28x%29=6%2F%28x%5E2%2B8%29, so h(x)=(fºg)(x)=f%28g%28x%29%29=f%286%2F%28x%5E2%2B8%29%29=6%2F%28x%5E2%2B8%29

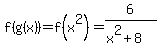
f%28x%29=6%2F%28x%2B8%29, g%28x%29=x%5E2, so h(x)=(fºg)(x)=f%28g%28x%29%29=f%28x%5E2%29=6%2F%28x%5E2%2B8%29

f%28x%29=1%2Fx, g%28x%29=%28x%5E2%2B8%29%2F6, so so h(x)=(fºg)(x)=f%28g%28x%29%29=f%28%28x%5E2%2B8%29%2F6%29=6%2F%28x%5E2%2B8%29

f%28x%29=6%2Fx, g%28x%29=x%5E2%2B8, so h(x)=(fºg)(x)=f%28g%28x%29%29=f%28x%5E2%2B8%29=6%2F%28x%5E2%2B8%29

Take your pick