|
Question 1209281: The parabola y = ax^2 + bx + c is graphed below. Find a \cdot b \cdot c. (The grid lines are one unit apart.)
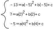
The parabola passes through (-5,-13), (2,7), and (4,-5).
Found 2 solutions by greenestamps, mccravyedwin: Answer by greenestamps(13200) (Show Source):
You can put this solution on YOUR website!
Solving similar problems like this in which the numbers are "nice" gives good practice in using formal mathematical methods. The numbers in this problem are so ugly that using formal methods to find the answer is a huge waste of time.
Go to wolframalpha.com and in the input box enter "equation of parabola through (-5,-13), (2,7), and (4,-5)". It will give you the answer in about 1 second:

Now multiply those three coefficients to find the answer to this absurd problem....
Answer by mccravyedwin(407) (Show Source):
|
|
|
| |