|
Question 1204342: Hi, can you help me to factor fully?
Found 2 solutions by MathLover1, math_tutor2020: Answer by MathLover1(20850) (Show Source): Answer by math_tutor2020(3817) (Show Source):
You can put this solution on YOUR website!
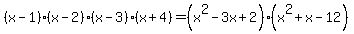
Answer: (x-1)(x-2)(x-3)(x+4)
The order of the factors doesn't matter.
Explanation
Since the leading coefficient is 1, we can use the rational root theorem to list out the factors of the last term.
Factors of 24 are: 1, 2, 3, 4, 6, 8, 12, 24
The plus and minus of each represents a possible rational root.
The idea is to test each with f(x) to see if the output is zero.
So for example, if x = 12, then

The nonzero result indicates that x = 12 is not a root of f(x)
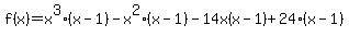
But x = 1 is a root because
x = 1 being a root leads to (x-1) being a factor.
I'll let you check the others.
f(x) has these roots: x = 1, x = 2, x = 3, x = -4
That in turn produces the following factors
x-1
x-2
x-3
x+4
Therefore,
------------------------
Here's how we can check the answer.

We have confirmed the answer.
|
|
|
| |