SOLUTION: 2. A stone is dropped into a liquid forming circles which increase in radius with time according to the formula r(t) = 4t The area of a circle related to radius is A(r) = pi * r ^

Algebra ->  Functions -> SOLUTION: 2. A stone is dropped into a liquid forming circles which increase in radius with time according to the formula r(t) = 4t The area of a circle related to radius is A(r) = pi * r ^       Log On


   



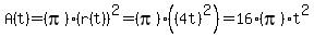
Question 1203678: 2. A stone is dropped into a liquid forming circles which increase in radius with time according to the formula r(t) = 4t The area of a circle related to radius is A(r) = pi * r ^ 2 Using composition of functions, find an equation that would give area as a function time .
Answer by greenestamps(13200) About Me  (Show Source):