SOLUTION: Suppose y = a/√1+bx where a and b are constants. When x=3, y=1 and dy/dx = -1/8. Find a and b.

Algebra ->  Functions -> SOLUTION: Suppose y = a/√1+bx where a and b are constants. When x=3, y=1 and dy/dx = -1/8. Find a and b.      Log On


   



Question 1192281: Suppose y = a/√1+bx where a and b are constants. When x=3, y=1 and dy/dx = -1/8. Find a and b.
Answer by MathLover1(20850) About Me  (Show Source):
You can put this solution on YOUR website!
Suppose y+=+a%2Fsqrt%281%2Bbx%29 where a and b are constants.
When x=3,+y=1+and+dy%2Fdx+=+-1%2F8.
Find a+and+b.


y+=+a%2Fsqrt%281%2Bbx%29

then, find +dy%2Fdx

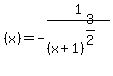
y'%28x%29+=+-%28ab%29%2F%282%28b+x+%2B+1%29%5E%283%2F2%29%29


use given x=3, y=1+ and dy%2Fdx+=+-1%2F8 to set system of equations:

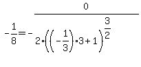
-1%2F8=+-%28ab%29%2F%282%28b+%2A3+%2B+1%29%5E%283%2F2%29%29
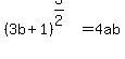
%283b+%2B+1%29%5E%283%2F2%29+=+4ab..............solve for+a
a=%283b+%2B+1%29%5E%283%2F2%29%2F%284b%29_................1)


substitute x=3, y=1+ in

y+=+a%2Fsqrt%281%2Bbx%29

1+=+a%2Fsqrt%281%2Bb%2A3%29

a+=+sqrt%283b+%2B+1%29................2)


from 1) and 2) we have

%283b+%2B+1%29%5E%283%2F2%29%2F%284b%29=+sqrt%283b+%2B+1%29

%28%28b+-+1%29+sqrt%283b+%2B+1%29%29%2Fb+=+0

if %28b+-+1%29=0 =>b=1

if 3b%2B1=0->b=-1%2F3


find a

a=%283+b+%2B+1%29%5E%283%2F2%29%2F%284b%29_................1)...sub. b=1

a=%283%2B+1%29%5E%283%2F2%29%2F4

a=2

or
a+=+sqrt%283+b+%2B+1%29................2), sub+b=-1%2F3

a+=+sqrt%283+%28-1%2F3%29%2B+1%29

a+=+sqrt%28-1%2B+1%29

a+=+sqrt%280%29

a=0

solutions:

a=2,+b=1
or
a=0,b=-1%2F3


verify solutions:

-1%2F8=-%282%2A1%29%2F%282%28+3+%2B+1%29%5E%283%2F2%29%29

-1%2F8=-%282%2A1%29%2F%282%284%29%5E%283%2F2%29%29

-1%2F8=-%282%2A1%29%2F%282%2A8%29

-1%2F8=-1%2F8->true


-1%2F8=+-%280%2A%28-1%2F3%29%29%2F%282-1%2F3%29%2A3+%2B+1%29%5E%283%2F2%29%29

-1%2F8=+-0%2F%282%28%28-1%2F3%29%2A3+%2B+1%29%5E%283%2F2%29%29->undefined

so, ->false and disregard a=0,b=-1%2F3


and solution is:
highlight%28a=2%29, highlight%28b=1%29

your equation is:

+y+=+2%2Fsqrt%281%2Bx%29+
your derivate is

y'%28x%29+=+-2%2F%282%28+x+%2B+1%29%5E%283%2F2%29%29

y'%28x%29+=+-1%2F%28x+%2B+1%29%5E%283%2F2%29


check x=3 , y=1, and y'%28x%29+=-1%2F8

+y+=+2%2Fsqrt%281%2Bx%29+

+1+=+2%2Fsqrt%281%2B3%29+

1+=+2%2Fsqrt%284%29+

1+=+2%2F2

1=1->true


check if x=3+and y'%28x%29+=-1%2F8 true

y'%28x%29+=+-1%2F%28x+%2B+1%29%5E%283%2F2%29

-1%2F8=+-1%2F%283+%2B+1%29%5E%283%2F2%29

-1%2F8=+-1%2F%284%29%5E%283%2F2%29

-1%2F8=+-1%2F8+-> true