SOLUTION: GIVEN THE FUNCTIONS F(X)= 3X^2-5X+4, G(X)=3X/X-2, H(X)=THE SQUARE ROOT OF 2-X FIND: F(X-1), G(X+H), AND H(X+2). COULD YOU SHOW ME STEP BY STEP HOW YOU WOULD SOLVE THESE PROBL

Algebra ->  Functions -> SOLUTION: GIVEN THE FUNCTIONS F(X)= 3X^2-5X+4, G(X)=3X/X-2, H(X)=THE SQUARE ROOT OF 2-X FIND: F(X-1), G(X+H), AND H(X+2). COULD YOU SHOW ME STEP BY STEP HOW YOU WOULD SOLVE THESE PROBL      Log On


   



Question 118535: GIVEN THE FUNCTIONS F(X)= 3X^2-5X+4, G(X)=3X/X-2, H(X)=THE SQUARE ROOT OF 2-X FIND:
F(X-1), G(X+H), AND H(X+2). COULD YOU SHOW ME STEP BY STEP HOW YOU WOULD SOLVE THESE PROBLEMS? THANK YOU VERY MUCH

Found 3 solutions by stanbon, solver91311, MathLover1:
Answer by stanbon(75887) About Me  (Show Source):
You can put this solution on YOUR website!
GIVEN THE FUNCTIONS
F(X)= 3X^2-5X+4
F(X-1) = 3(X-1)^2-5(X-1)+4
= 3(x^2-2x+1)-5x-5+4
= 3x^2-6x+3-5x-1
= 3x^2-11x+2
-----------------------
G(X)=3X/X-2
G(x+h) = 3(x+h)/x+h-2
= [3x+3h]/[x+h-2]
----------------------
H(X)=THE SQUARE ROOT OF 2-X
H(X+2) = sqrt(2-(x+2))
= sqrt(-x)
==================
Cheers,
Stan H.

Answer by solver91311(24713) About Me  (Show Source):
You can put this solution on YOUR website!
(Please do not type your questions in ALL CAPS. It is hard to read, annoying, and is the electronic equivalent of SHOUTING.)

f%28x%29=+3x%5E2-5x%2B4
g%28x%29=3x%2F%28x-2%29
h%28x%29=sqrt%282-x%29

A: f%28x-1%29

In the expression for f%28x%29=+3x%5E2-5x%2B4, substitute x-1 every place you see x, thus:

f%28x-1%29=+3%28x-1%29%5E2-5%28x-1%29%2B4

Then expand and simplify by collecting terms:

f%28x-1%29=+3%28x%5E2-2x%2B1%29-5x%2B5%2B4
f%28x-1%29=+3x%5E2-6x%2B3-5x%2B5%2B4
f%28x-1%29=+3x%5E2-11x%2B12

B: g%28x%2Bh%29

What is x%2Bh? h%28x%29=sqrt%282-x%29, so x%2Bh%28x%29=x%2Bsqrt%282-x%29.

Again, take the definition of g%28x%29 and substitute x%2Bsqrt%282-x%29 every place you see x.

g%28x%2Bh%29=3%28x%2Bsqrt%282-x%29%29%2F%28x%2B%28sqrt%282-x%29%29-2%29

(I'm not sure I even want to begin to try to simplify that horror. I'd just leave it be and hope for the best)

There is also the possibility that I misinterpreted your expression for h%28x%29. In the event that you actually meant h%28x%29=sqrt%282%29-x, this problem comes out quite differently.

x%2Bh%28x%29+=++x%2Bsqrt%282%29-x+=+sqrt%282%29, then
g%28x%2Bh%29=%283%28sqrt%282%29%29%2F%28sqrt%282%29-2%29%29

Rationalizing the denominator:


C: h%28x%2B2%29

Do this one exactly the same way I did the first one. Take h%28x%29 and substitute x%2B2 everywhere you see x. I'll let you finish.

Super-Double-Plus Extra Credit: What is the domain of h%28x%2B2%29?

Hope that helps.
John

Answer by MathLover1(20850) About Me  (Show Source):
You can put this solution on YOUR website!
1.
f%28x%29=+3x%5E2-5x%2B4
Find f%28x-1%29

f+%28x-1%29+=+3%28x-1%29%5E2-5%28x-1%29+%2B4+

f%28x-1%29=+3%28x%5E2-2x%2B1%29-+5x+%2B+5+%2B+4
f%28x-1%29=+3x%5E2-6x%2B3+-+5x+%2B+5+%2B+4
f%28x-1%29=+3x%5E2-11x%2B12

2.
g%28x%29=+3x%2F%28x-2%29+
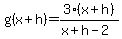
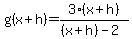
Find g+%28x%2Bh%29+
g+%28x%2Bh%29+=+3%28x%2Bh%29+%2F%28%28x%2Bh%29+-2%29+
g+%28x%2Bh%29+=+3%28x%2Bh%29+%2F%28x%2Bh+-2%29+



h%28x%29=+sqrt%282-x%29+
Find h%28x%2B2%29+
h%28x%2B2%29=+sqrt%282-%28x%2B2%29%29
h%28x%2B2%29=+sqrt%282-x%2B2%29
h%28x%2B2%29=+sqrt%284-x%29