SOLUTION: Prove that (sin 0/1-cos 0) - (sin 0/1 + cos 0) = 2/tan0

Algebra ->  Functions -> SOLUTION: Prove that (sin 0/1-cos 0) - (sin 0/1 + cos 0) = 2/tan0      Log On


   



Question 1182315: Prove that (sin 0/1-cos 0) - (sin 0/1 + cos 0) = 2/tan0
Answer by greenestamps(13200) About Me  (Show Source):
You can put this solution on YOUR website!


After replacing your "0" with "theta", the equation as you show it is this:

sin%28theta%29%2F1-cos%28theta%29-sin%28theta%29%2F1%2Bcos%28theta%29+=+2%2Ftan%28theta%29

That equation is not true....

If your study of math has reached the point where you are learning proving trig identities, then you should know that proper use of parentheses is important....!

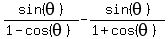
Let's look at the left-hand side of the inequality you INTENDED to show and see if we can show it is equivalent to the right-hand side.

sin%28theta%29%2F%281-cos%28theta%29%29+-+sin%28theta%29%2F%281%2Bcos%28theta%29%29

Combine fractions with the common denominator, %281-cos%28theta%29%29%281%2Bcos%28theta%29%29=1-cos%5E2%28theta%29=sin%5E2%28theta%29





%282sin%28theta%29cos%28theta%29%29%2Fsin%5E2%28theta%29

2cos%28theta%29%2Fsin%28theta%29

2cot%28theta%29

2%2Ftan%28theta%29

The proof is complete.