SOLUTION: What is the inverse of this function y = 3- \frac{ 3 }{ 2 } \sqrt{ x+4 }

Algebra ->  Functions -> SOLUTION: What is the inverse of this function y = 3- \frac{ 3 }{ 2 } \sqrt{ x+4 }       Log On


   



Question 1181042: What is the inverse of this function

y = 3- \frac{ 3 }{ 2 } \sqrt{ x+4 }

Answer by MathLover1(20850) About Me  (Show Source):
You can put this solution on YOUR website!

y=3+-+%283%2F2%29+sqrt%28x+%2B+4%29.........to find inverse, swap variables first

x=3+-+%283%2F2%29+sqrt%28y+%2B+4%29...........solve for y

%283%2F2%29+sqrt%28y+%2B+4%29=3+-+x

sqrt%28y+%2B+4%29=3%2F%283%2F2%29++-+x%2F%283%2F2%29+

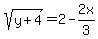
sqrt%28y+%2B+4%29=2+-2x%2F3..........square both sides

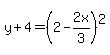
y+%2B+4=%282+-2x%2F3%29%5E2

y+%2B+4=%284%2F9%29x%5E2+-+%288%2F3%29x+%2B+4...simplify

y’ =%284%2F9%29x%5E2+-+%288%2F3%29x+=>inverse